Инженерный справочник DPVA.ru (ex DPVA-info)

Проект Карла III Ребане и хорошей компании
 Задвижки, фильтры, кланы, клапаны, виброкомпенсаторы ABRA
Межфланцевые прокладки. Герметики. Уплотнительные материалы

Группа в FaceBook - тыц!



Free counters!

Адрес этой страницы (вложенность) в справочнике dpva.ru:  главная страница  / / Техническая информация / / Математический справочник / / Математика для самых маленьких. Шпаргалки. Детский сад, Школа.  / / Площадь поверхности и объем геометрических тел. Прямые призмы. Правильные пирамиды. Круговые цилиндры. Круговые конусы. Шар и его части. Примерно 8 класс (14 лет)


  Вы сейчас находитесь в каталоге:
   Математика для самых маленьких. Шпаргалки. Детский сад, Школа.   

Площадь поверхности и объем геометрических тел. Прямые призмы. Правильные пирамиды. Круговые цилиндры. Круговые конусы. Шар и его части. Примерно 8 класс (14 лет)

Поделиться:   

Площадь поверхности и объем геометрических тел. Прямые призмы. Правильные пирамиды.
Круговые цилиндры. Круговые конусы. Шар и его части. Примерно 8 класс (14 лет)

Прямые призмы (Sполн=2Sосн+Sбок; V=Sосн•H)

Куб
Площадь поверхности и объем куба.
Прямоугольный параллелепипед
Площадь поверхности и объем прямоугольного параллелепипеда
Правильная треугольная призма
Площадь поверхности и объем правильной треугольной призмы
Правильная шестиугольная призма
Площадь поверхности и объем правильной шестиугольной призмы

Правильные пирамиды (Sполн=Sосн+Sбок; V=1/3•Sосн•H)

Тертраэдр
Площадь поверхности и объем тертраэдра
Правильная треугольная пирамида
Площадь поверхности и объем правильной треугольной пирамиды
Правильная четырехугольная пирамида
Площадь поверхности и объем правильной четырехугольной пирамиды
Правильная шестиугольная пирамида
Площадь поверхности и объем Площадь поверхности и объем правильной шестиугольной пирамиды
Sбок- площадь боковой поверхности многогранника, Sполн - площадь полной поверхности многогранника, Sосн - площадь основания многогранника, V - объем многогранника.

Круговые цилиндры (Sполн=2Sосн+Sбок; V=Sосн•H)

Прямой цилиндр
Площадь поверхности и объем прямого цилиндра
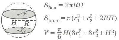
Прямой полый цилиндр
Площадь поверхности и объем прямого полого цилиндра

Круговые конусы

Прямой конус
Площадь поверхности и объем прямого конуса
Прямой усеченный конус
Площадь поверхности и объем прямого усеченного конуса

Шар и его части

Шар
Площадь поверхности и объем шара
Шаровой слой
Площадь поверхности и объем шарового слоя

Шаровой сектор

Шаровой сектор
Площадь поверхности и объем шарового сектора

Шаровой сегмент

Шаровой сегмент
Площадь поверхности и объем шарового сегмента

Sбок- площадь боковой поверхности круглого тела, Sполн - площадь полной поверхности круглого тела, Sосн - площадь основания круглого тела, V - объем круглого тела.

Поиск в инженерном справочнике DPVA. Введите свой запрос:
Дополнительная информация от Инженерного cправочника DPVA, а именно - другие подразделы данного раздела:
  • Шпаргалки по математике, алгебре и геометрии
  • Правила сложения и вычитания.
  • Таблица сложения от 1 до 10. Таблица сложения до 20. Таблица сложения в пределах 10.
  • Таблица вычитания от 1 до 10. Таблица вычитания до 20. Таблица вычитания через десяток.
  • Таблица умножения для 2 класса - традиционная 10x10, 12х12 и 20х20
  • Таблицы деления - традиционная 10x10 и 12х12
  • Единицы (измерения) длины см-дм-м, единицы измерения площади см2-дм2. Примерно 3 класс (8-9 лет).
  • Доли и дроби. Арифметические действия с дробями. Сокращение дроби. Умножение и деление дроби на натуральное число. Умножение и деление дробей. Сложение и вычитание дробей с различными знаменателями.
  • Перевод взаимный метрических единиц измерения площади: см2, дм2, м2, ар (сотка), гектра (га), км2 - таблица. Примерно 4 класс (9-10 лет).
  • Зависимость между величинами: скорость-время-расстояние, цена-количество-стоимость, работа-производительность-время. Меры длины. Меры площади. Меры объема. Меры массы. Примерно 5 класс (9-10 лет)
  • Сложение и вычитание дробей с разными знаменателями. Приведение дробей к наименьшему общему знаменателю. Примерно 6-класс (11-12 лет)
  • Умножение дробей и смешанных чисел. Деление дробей и смешанных чисел. Примерно 6-класс (11-12 лет)
  • Основные дроби и проценты. Дробь / десятичная дробь / процент. Полезно помнить. Примерно 6-класс (11-12 лет)
  • Числовые промежутки. Промежутки на числовой (координатной) прямой. Геометрическое изображение. Обозначение. Запись с помощью неравенств. Примерно 6-класс (11-12 лет).
  • Законы сложения и умножения. Переместительный, сочетательный и распределительный законы. Они же: коммутативный, ассоциативный и дистрибутивный законы. Примерно 5 класс (10-11 лет)
  • Натуральные N, целые Z, рациональные Q, действительные R, иррациональные I. Арифметические действия с дробями (сложение, сокращение, вычитание, умножение). Модуль числа. Свойства модуля. Виды чисел. Типы чисел.
  • Множество натуральных чисел - N, множество целых чисел Z, множество рациональных чисел Q, множество иррациональные чисел, множество действительных = вещественных чисел R. Понятия и обозначения, русский и английский = международный подходы.
  • Виды и типы углов. Острый, тупой, развернутый угол. Вертикальные углы. Смежные углы. Примерно 5-9 класс (10-14 лет)
  • Преобразования фигур. Параллельный перенос. Поворот. Преобразования симметрии относительно точки и прямой. Гомотетия. Подобие. Примерно 5-9 класс (10-14 лет)
  • Делимость чисел. Кратное. Делитель. НОК. НОД. Простые числа. Составные числа. Взаимно простые числа. Признаки делимости.
  • Признаки делимости на 2, 3, 4, 5, 6, 8, 9, 10 без остатка. + Признаки делимости на 11,13,25,36.
  • Абсцисса и ордината. Понятия абсциссы и ординаты
  • Числовые последовательности, члены, способы задания. Арифметическая и геометрическая прогрессии. Формулы для разности и знаменателя, формулы n-ного члена. Формулы суммы n первых членов. Характеристические свойства.
  • Системы координат на плоскости: прямоугольная декартова и полярная, связь между координатами. Двухмерные системы координат
  • Модуль числа. Пропорции. Свойства модуля. Свойства пропорции. Примерно 7 класс (13 лет)
  • Нахождение наиМЕНЬШЕГО общего кратного (НОК) и наиБОЛЬШЕГО общего делителя (НОД) натуральных чисел. Примерно 6-класс (11-12 лет)
  • Геометрические места точек. Понятие геометрического места точек. Примеры на плоскости: Окружность, срединный перпендикуляр, прямые, биссектриса, дуги. Примерно 5-9 класс (10-14 лет)
  • Прямые и углы. Свойства прямых. Взаимное расположение прямых на плоскости. Аксиома параллельности и свойства параллельных прямых. Перпендикуляр и наклонные. Виды углов, свойства углов, признаки параллельности прямых, Теорема Фалеса.
  • Свойства и площади плоских фигур. Свойства треугольника ...
  • Свойства окружностей. Прямые, отрезки и углы, связанные с окружностью. Взаимное расположение окружности и прямой, окружности и точки, двух окружностей. Свойства углов, связанных с окружностью. Метрические соотношения в окружности
  • Вписанные и описанные окружности. Описанные и вписанные в треугольник, четырехугольник, ромб, прямоугольник, квадрат, трапецию и правильный многоугольник окружности.
  • Таблица простых чисел от 1 до 10000. Таблица простых чисел от 1 до 1000
  • Понятие функции. Основные свойства функций. Область определения и значения. Четность и нечетность. Периодичность, нули функции, промежутки знакопостоянства, монотонность (возрастание, убывание), экстремумы (максимумы, минимумы), асимптоты
  • Множества x=a; x≠a; x>a; x<a; x≥a; x≤a; a<x<b; a≤x≤b и y=b; y≠b; y>b; y<b; y≥b; y≤b; a<y<b; a≤y≤b на координатной плоскости. Примерно 7 класс (13 лет)
  • Степенные функции y=xn и y=x1/n, n∈Z. Свойства, графики. Квадратичная функция. Свойства степеней. Свойства арифметических корней. Формулы сокращенного умножения. Примеры значения степенных функций.
  • Графики простейших функций - линейная, параболы, гиперболы, экспоненты, показательные, степенные, логарифмическая, синус, косинус, тангенс, котангенс изучаемых в школе Справочная таблица. Примерно 7-9 класс (13-15 лет)
  • Преобразование графиков функций у= f(x) в y=-f(x); y=f(-x); y=-f(-x); y=f(x-a); y=f(x)+b; y=f(ax); y=kf(x); y=|f(x)|; y=f(|x|). Построение графика обратной функции. Примерно 7-9 класс (13-15 лет)
  • Квадратичная функция. Область определения / значений. Вершина графика функции. Нули. Свойства степеней. Св-ва арифметических корней. Формулы сокращенного умножения.
  • Неравенства, понятия, строгие, нестрогие, решение. Свойства неравенств. Решение линейных неравенств. Решение квадратных неравенств. Метод интервалов при решении неравенств.
  • Квадратные уравнения и неравенства. Алгоритмы решения квадратного уравнения и неравенства. Формулы дискриминанта и корней квадратного уравнения. Теорема Виета. Примерно 7 класс (13 лет)
  • Свойства четырехугольников. Виды четырехугольников. Свойства произвольных четырехугольников. Свойства параллелограмма. Свойства ромба. Свойства прямоугольника. Свойства квадрата. Свойства трапеции. Примерно 7-9 класс (13-15 лет)
  • Площадь поверхности и объем геометрических тел. Прямые призмы. Правильные пирамиды. Круговые цилиндры. Круговые конусы. Шар и его части. Примерно 8 класс (14 лет)
  • Кратенько: Преобразование графика f(x) в f(x+a); f(x)+b; -f(x); f(-x); |f(-x)|; f(|x|); f(kx), k>0; kf(x), k>0. Примерно 7-9 класс (13-15 лет)
  • Формулы сокращенного умножения. Разность квадратов, сумма кубов и разность кубов и разность четвертых степеней. Квадрат суммы и квадрат разности и куб суммы и куб разности.
  • Решение показательных уравнений. Решение логарифмических уравнений. Примеры значений логарифмических и показательных функций.
  • Решение показательных неравенств. Решение логарифмическмх неравенств. Решение иррациональных неравенств. Решение неравенств с модулем. Часто применяемые неравенства.
  • Синус и косинус - тригонометрические функции y=sin(x), y=cos(x). Свойства, область определения, значения, четность, периоды, нули, промежутки знакопостоянства, возрастание, убывание, минимумы, максимумы, основные значения, знаки, формулы приведения
  • Тригонометрические функции тангенс и котангенс tg и ctg. Свойства. Основные формулы, формулы кратных и половинных аргументов, сложения, преобразования суммы в произведение, преобразования произведения в сумму
  • Обратные тригонометрические функции arcsix, arccos, arctg, arcctg. Свойства. Простейшие тригонометрические уравнения. Примеры значений обратных тригонометрических функций
  • Тригонометрические формулы. Свойства функций, основные тождества, сумма углов. Сумма функций, формулы приведения, особые случаи, степени, половинные, двойные и тройные углы. Обратные функции.
  • Решение тригонометрических неравенств: sin x > a, sin x< a, sin x ≥ a, sin x ≤ a; cos x > a, cos x< a, cos x ≥ a, cos x ≤ a; tg x > a, tg x< a, tg x ≥ a, tg x≤a;  ctg x > a, ctg x< a, ctg x ≥ a, ctg x≤a
  • Системы уравнений. Понятие системы уравнений. Свойства систем уравнений. Линейные системы уравнений с двумя неизвестными. Основные методы решения систем уравнений
  • Понятие вектора. Действия с векторами, их свойства - сложение и вычитание векторов, умножение на число, коллинеарность. Скалярное умножение (произведение) векторов. Проекции, разложение векторов, координаты, действия в координатах, взаимное расположение
  • Комбинаторика. Факториал. Перестановки. Размещения. Сочетания. Биноминальные коэффициенты. Треугольник Паскаля. Свойства биноминальных коэффициентов. Формула бинома
  • Декартовы координаты на плоскости и в пространстве. Координаты точки. Координаты середины отрезка. Расстояние между точками. Уравнение прямой, уравнение плоскости. Уравнение окружности. Уравнение сферы.
  • Прямые и плоскости в пространстве. Параллельность и перпендикулярность прямых и плоскостей. Признаки и свойства. Перпендикуляр и наклонные. Проекция наклонной. Плоские углы в стереометрии.
  • Производная функции. Понятие производной. Геометрический смысл производной. Физический смысл производной. Правила дифференцирования. Производная сложной функции. Достаточное условие монотонности функции. Необходимое и достаточное условия экстремума.
  • Интегрирование функций. Понятие и основное свойство первообразной. Неопределенный интеграл. Правила интегрирования. Определенный интеграл. Формула Ньютона-Лейбница. Свойства геометрический и физический смысл определенного интеграла
  • Поиск в инженерном справочнике DPVA. Введите свой запрос:|
    Если Вы не обнаружили себя в списке поставщиков, заметили ошибку, или у Вас есть дополнительные численные данные для коллег по теме, сообщите , пожалуйста.
    Вложите в письмо ссылку на страницу с ошибкой, пожалуйста.