Инженерный справочник DPVA.ru (ex DPVA-info)

Проект Карла III Ребане и хорошей компании
 Задвижки, фильтры, кланы, клапаны, виброкомпенсаторы ABRA
Межфланцевые прокладки. Герметики. Уплотнительные материалы

Группа в FaceBook - тыц!



Free counters!

Адрес этой страницы (вложенность) в справочнике dpva.ru:  главная страница  / / Техническая информация / / Физический справочник / / Физика для самых маленьких. Шпаргалки. Школа.  / / Кинематика. Основные понятия. Равномерное прямолинейное движение. Равноускоренное движение. Равномерное движение по окружности. Система отсчёта. Траектория, перемещение, путь, уравнение движения, скорость, ускорение, связь линейной и угловой скорости.


  Вы сейчас находитесь в каталоге:
   Физика для самых маленьких. Шпаргалки. Школа.   

Кинематика. Основные понятия. Равномерное прямолинейное движение. Равноускоренное движение. Равномерное движение по окружности. Система отсчёта. Траектория, перемещение, путь, уравнение движения, скорость, ускорение, связь линейной и угловой скорости.

Поделиться:   

Кинематика. Основные понятия. Равномерное прямолинейное движение. Равноускоренное
движение. Равномерное движение по окружности. Система отсчёта. Траектория,
перемещение, путь, уравнение движения, скорость, ускорение, связь линейной
и угловой скорости.

Основные понятия: система отсчета, траектория, перемещение, путь, уравнение движения, мгновенная скорость, ускорение, поступательное движение:

Система отсчета:

  • Система отсчета: совокупность тела отсчета (относительно которого рассматривается движение), связанных с ним системы координат и способа измерения времени.
Система отсчета: совокупность тела отсчета (относительно которых рассматривается движение), связанных с ним системы координат и способа измерения времени

Траектория, перемещение, путь, уравнение движения, мгновенная скорость, ускорение, поступательное движение:

  • Траектория: Линия, вдоль которой движется точка (тело, рассматриваемое, как материальная точка)
  • Перемещение Определение понятия "перемещение": Вектор, соединяющий начальное положение точки с его конечным положением
  • Путь S: Длина траектории между начальным и конечным положением точки на ней (с учетом многократного прохождения точкой одного и того же участка = включая это прохождение)
  • Уравнение движения: зависимость положения движущейся точки от времени.
    • Векторное уравнение движения:
      • Векторное уравнение движения
    • Координатные уравнения движения: x=x(t); y=y(t); z=z(t)
Траектория, перемещение, путь - определение, схема
  • Мгновенная скорость: это скорость точки в данный момент времени (векторная величина) - предел отношения перемещения точки к промежутку времени, в течение которого это перемещение произошло, при стремлении промежутка времени к нулю (для взрослых = производная перемещения по времени):
    • Мгновенная скорость - определение, схема
    • Мгновенная скорость всегда направлена по касательной к траектории.
Мгновенная скорость - определение, схема
  • Ускорение: это величина, характеризующая изменение скорости (векторная величина) - предел отношения изменения скорости к промежутку времени, в течение которого это изменение произошло, при стремлении промежутка времени к нулю (для взрослых = произодная скорости по времени)
    • Ускорение - определение, схема, пояснения
Ускорение - определение, схема, пояснения
  • Поступательное движение твердого тела: это движение при котором любая прямая, проведенная в этом теле, в любой момент времени параллельна самой себе в любой другой момент времени. Для описания поступательного движения твердого тела, очевидно, достаточно описать движение любой его точки.
Поступательное движение - определение, схема, пояснения

Закон сложения скоростей при переходе из одной системы отсчета в другую:

  • Если тело движется относительно некоторой системы отсчета K1 со скоростью v1, и сама система отсчета K1 движется относительно другой системы отсчета K2 со скоростью v, то скорость тела относительно системы отсчета K2 равна геометрической = векторной сумме скоростей:
    • Закон сложения скоростей при переходе из одной системы отсчета в другую
Закон сложения скоростей при переходе из одной системы отсчета в другую

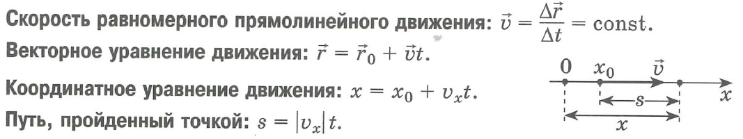
Равномерное прямолинейное движение:

  • Равномерное движение: это движение, при котором точка за любые равные промежутки времени проходит одинаковые пути. Ну... прямолинейность пояснять ведь не надо :)
    • Скорость равномерного прямолинейного движения, векторное уравнение движения, Координатное уравнение движения, Путь пройденный точкой при равномерном прямолинейном движении

Равноускоренное движение:

  • Равноускоренное движение: это движение, при котором скорость за равные промежутки времени изменяется одинаково:
    • Определение равноускоренного движения
    • Скорость равноускоренного движения, Уравнение для проекции скоростей равноускоренного движения, Векторное уравнение равноускоренного движения, Координатные уравнения равноускоренного движения

Равномерное движение по окружности:

  • Частота вращения: ν ("ню") это число полных оборотов за 1 с
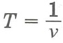
  • Период обращения (период вращения) Т:  это промежуток времени, через которое точка вернется в первоначальное состояние:
    • Период обращения Т
  • Линейная скорость: это скорость движения вдоль траектории:
    •  Линейная скорость при равномерном движении по окружности
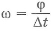
  • Угловая скорость: это величина, равная отношению угла (угол - в радианах) поворота отрезка, соединяющего точку с центром окружности вращения, к промежутку времени за который этот поворот произошел:
    • Угловая скорость при равномерном движении по окружности
  • Связь между линейной и угловой скорости:
    •  при равномерном движении по окружности
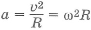
  • Центростремительное ускорение: это ускорение точки при равномерном движении по окружности. Вектор такого ускорения ускорения в любой точке окружности перпендикулярен вектору скорости и направлен у центру окружности, модуль этого вектора равен:
    • Центростремительное ускорение при равномерном движении по окружности
Равномерное движение по окружности, определения, формулы, схема

Поиск в инженерном справочнике DPVA. Введите свой запрос:
Дополнительная информация от Инженерного cправочника DPVA, а именно - другие подразделы данного раздела:
  • Шпаргалки по физике
  • Магия физики. Увлекаем детей физикой. Это Физика бро! Гифки.
  • Понятие вектора. Действия с векторами, их свойства - сложение и вычитание векторов, умножение на число, коллинеарность. Скалярное умножение (произведение) векторов. Проекции, разложение векторов, координаты, действия в координатах, взаимное расположение
  • Основные законы Динамики. Законы Ньютона - первый, второй, третий. Принцип относительности Галилея. Закон всемирного тяготения. Сила тяжести. Силы упругости. Вес. Силы трения - покоя, скольжения, качения + трение в жидкостях и газах.
  • Вы сейчас здесь: Кинематика. Основные понятия. Равномерное прямолинейное движение. Равноускоренное движение. Равномерное движение по окружности. Система отсчёта. Траектория, перемещение, путь, уравнение движения, скорость, ускорение, связь линейной и угловой скорости.
  • Простые механизмы. Рычаг (рычаг первого рода и рычаг второго рода). Блок (неподвижный блок и подвижный блок). Наклонная плоскость. Гидравлический пресс. Золотое правило механики
  • Законы сохранения в механике. Механическая работа, мощность, энергия, закон сохранения импульса, закон сохранения энергии, равновесие твердых тел
  • Движение по окружности. Уравнение движения по окружности. Угловая скорость. Нормальное = центростремительное ускорение. Период, частота обращения (вращения). Связь линейной и угловой скорости
  • Механические колебания. Свободные и вынужденные колебания. Гармонические колебания. Упругие колебания. Математический маятник. Превращения энергии при гармонических колебаниях
  • Механические волны. Скорость и длина волны. Уравнение бегущей волны. Волновые явления (дифракция. интерференция...)
  • Гидромеханика и аэромеханика. Давление, гидростатическое давление. Закон Паскаля. Основное уравнение гидростатики. Сообщающиеся сосуды. Закон Архимеда. Условия плавания тел. Течение жидкости. Закон Бернулли. Формула Торричели
  • Молекулярная физика. Основные положения МКТ. Основные понятия и формулы. Свойства идеального газа. Основное уравнение МКТ. Температура. Уравнение состояния идеального газа. Уравнение Менделеева-Клайперона. Газовые законы - изотерма, изобара, изохора
  • Геометрическая оптика. Оптические системы. Зеркала. Линзы.
  • Волновая оптика. Корпускулярно-волновая теория света. Волновые свойства света. Дисперсия света. Интерференция света. Принцип Гюйгенса-Френеля. Дифракция света. Поляризация света
  • Термодинамика. Внутренняя энергия. Работа. Количество теплоты. Тепловые явления. Первый закон термодинамики. Применение первого закона термодинамики к различным процессам. Уравнение теплового балланса. Второй закон термодинамики. Тепловые двигатели
  • Электростатика. Основные понятия. Электрический заряд. Закон сохранения электрического заряда. Закон Кулона. Принцип суперпозиции. Теория близкодействия. Потенциал электрического поля. Конденсатор.
  • Постоянный электрический ток. Закон Ома для участка цепи. Работа и мощность постоянного тока. Закон Джоуля-Ленца. Закон Ома для полной цепи. Закон электролиза Фарадея. Электрические цепи - последовательное и параллельное соединение. Правила Кирхгофа.
  • Электромагнитные колебания. Свободные и вынужденные электромагнитные колебания. Колебательный контур. Переменный электрический ток. Конденсатор в цепи переменного тока. Катушка индуктивности ("соленоид") в цепи переменного тока.
  • Электромагнитные волны. Понятие электромагнитной волны. Свойства электромагнитных волн. Волновые явления
  • Магнитное поле. Вектор магнитной индукции. Правило буравчика. Закон Ампера и сила Ампера. Сила Лоренца. Правило левой руки. Электромагнитная индукция, магнитный поток, правило Ленца, закон электромагнитной индукции, самоиндукция, энергия магнитного поля
  • Квантовая физика. Гипотеза Планка. Явление фотоэффекта. Уравнение Эйнштейна. Фотоны. Квантовые постулаты Бора.
  • Элементы теории относительности. Постулаты теории относительности. Относительность одновременности, расстояний, промежутков времени. Релятивистский закон сложения скоростей. Зависимость массы от скорости. Основной закон релятивистский динамики...
  • Погрешности прямых и косвенных измерений. Абсолютная, относительная погрешность. Систематические и случайные погрешности. Среднее квадратическое отклонение (ошибка). Таблица определения погрешностей косвенных измерений различных функций.
  • Поиск в инженерном справочнике DPVA. Введите свой запрос:|
    Если Вы не обнаружили себя в списке поставщиков, заметили ошибку, или у Вас есть дополнительные численные данные для коллег по теме, сообщите , пожалуйста.
    Вложите в письмо ссылку на страницу с ошибкой, пожалуйста.