Инженерный справочник DPVA.ru (ex DPVA-info)

Проект Карла III Ребане и хорошей компании
 Задвижки, фильтры, кланы, клапаны, виброкомпенсаторы ABRA
Межфланцевые прокладки. Герметики. Уплотнительные материалы

Группа в FaceBook - тыц!



Free counters!

Адрес этой страницы (вложенность) в справочнике dpva.ru:  главная страница  / / Техническая информация / / Физический справочник / / Физика для самых маленьких. Шпаргалки. Школа.  / / Электростатика. Основные понятия. Электрический заряд. Закон сохранения электрического заряда. Закон Кулона. Принцип суперпозиции. Теория близкодействия. Потенциал электрического поля. Конденсатор.


  Вы сейчас находитесь в каталоге:
   Физика для самых маленьких. Шпаргалки. Школа.   

Электростатика. Основные понятия. Электрический заряд. Закон сохранения электрического заряда. Закон Кулона. Принцип суперпозиции. Теория близкодействия. Потенциал электрического поля. Конденсатор.

Поделиться:   

Электростатика. Основные понятия. Электрический заряд. Закон сохранения электрического
заряда. Закон Кулона. Принцип суперпозиции. Теория близкодействия. Потенциал электрического
поля. Конденсатор.

Основные понятия электростатики:  электрический заряд, элементарный заряд, электрическое поле, проводник, диэлектрик:

  • Электрический заряд Q [Кл]: это физическая величина, характеризующая свойство тел вступать в электрическое взаимодействие. Одноименные заряды отталкиваются, а разноименные заряды притягиваются
  • Элементарный заряд: e=1,6*10-19 Кл это минимальная порция заряда, котрая может передаваться от одного тела к другому (заряд протона или электрона)
  • Электрическое поле: это создаваемый любым электрическим зарядом материальный объект, непрерываный в пространстве, проявляющийся в том, что действет на другие заряды.
  • Проводник: это материал, по которому заряд может свободно перемещаться от одного тела к другому.
  • Диэлектрик: это материал, по которому электрический заряд при обычных условиях перемещаться не может.
Основные понятия электростатики:  электрический заряд, элементарный заряд, электрическое поле, проводник, диэлектрик

Закон сохранения электрического заряда:

  • Закон сохранения электрического заряда: в замкнутой системе алгебраическая (с учетом знаков +/-) сумма зарядов остается постоянной
  • Закон сохранения электрического заряда: в замкнутой системе алгебраическая (с учетом знаков +/-) сумма зарядов остается постоянной
Закон сохранения электрического заряда

Закон Кулона, кулоновская сила:

  • Закон Кулона: сила взаимодействия двух точечных зарядов (=кулоновская сила) направлена вдоль прямой, соединяющей заряды, прямо пропорциональна модулю зарядов и обратно пропорциональна квадрату расстояния между ними:
    • Закон Кулона: сила взаимодействия двух точечных зарядов (=кулоновская сила) направлена вдоль прямой, соединяющей заряды, прямо пропорциональна модулю зарядов и обратно пропорциональна квадрату расстояния между ними
Закон Кулона, кулоновская сила

Принцип суперпозиции для электрических зарядов:

  • Принцип суперпозиции для электрических зарядов: результирующая сила, действующая на данный заряд q1 со стороны нескольких зарядов q2.....qn, равна геометрической сумме (= векторной сумме) сил F12+....F1n, действующих на данный заряд со стороны каждого из зарядов:
    • Принцип суперпозиции для электрических зарядов: результирующая сила, действующая на данный заряд q1 со стороны нескольких зарядов q2.....qn, равна геометрической сумме (= векторной сумме) сил F12+....F1n, действующих на данный заряд со стороны каждого из зарядов
Принцип суперпозиции для электрических зарядов

Теория близкодействия электрических зарядов:

  • Взаимодействие между заряженными частицами осуществляется посредством электрического поля и осуществляется с конечной скоростью

Напряженность электрического поля, напряженность поля точечного заряда:

  • Напряженность электрического поля [В/м]: E (векторная величина) это отношение силы F (векторной величины) с которой поле действует на точечный заряд q (скалярной величины), к этому заряду (с учетом знака заряда):
    • Напряженность электрического поля: E (векторная величина) это отношение силы F (векторной величины) с которой поле действует на точечный заряд q (скалярной величины), к этому заряду (с учетом знака заряда)
  • Напряженность электрического поля единичного точечного заряда Q: на расстоянии r от него (напрямую следует из закона Кулона):
    • Напряженность электрического поля единичного точечного заряда Q: на расстоянии r от него
Напряженность электрического поля, напряженность поля точечного заряда

Принцип суперпозиции электрических полей:

  • Принцип суперпозиции электрических полей: если в данной точке пространства различные заряженные частицы создают электрические поля, напряженности которых E1,E2,....En, то результирующая напряженность электрического поля в этой точке равна векторной сумме отдельных напряжённостей:
    • Принцип суперпозиции электрических полей
Принцип суперпозиции электрических полей

Потенциал электрического поля, потенциальная энергия заряда, разность потенциалов = напряжение, связь разности потенциалов и напряженности в однородном поле:

  • Потенциальная энергия: заряда q в однородном электростатическом поле напряженности E:
    • Потенциальная энергия: заряда q в однородном электростатическом поле напряженности E,
    • где d - расстояние до плоскости, где потенциальная энергия принимается равной нулю
  • Потенциал электростатического поля в точке [В]: это отношение потенциальной энергии заряда в поле, к этому заряду (с учетом знака заряда):
    • Потенциал электростатического поля: это отношение потенциальной энергии заряда в поле, к этому заряду (с учетом знака)
    • Вариант 2: это работа по перемещению единичного положительного заряда из данной точки в бесконечность
  • Напряжение = Разность потенциалов между точками: это отношение работы поля при перемещении заряда из начальной точки в конечную к этому заряду ( с учетом знака заряда):
    • Напряжение = Разность потенциалов между точками: это отношение работы поля при перемещении заряда из начальной точки в конечную к этому заряду ( с учетом знака заряда):
    • Численно (но не по размерности) это работа поля по перемещению единичного положительного заряда из одной точки в другую
  • Связь разности потенциалов и напряженности: в однородном поле:
    • Связь разности потенциалов и напряженности: в однородном поле
    • где U это разность потенциалов между точками, которые cвязаны вектором перемещения Δd, совпадающим по направлению с вектором E

Конденсатор, электроемкость, напряженность, энергия:

  • Электроемкость двух проводников: это отношение заряда Q одного из проводников к разности потенциалов U между этим проводником и соседним:
    • Электроемкость двух проводников: это отношение заряда Q одного из проводников к разности потенциалов U между этим проводником и соседним
  • Конденсатор: это система двух проводников (обкладок конденсатора), разделенных слоем диэлектрика, толщина которого мала по отношению к размерам обкладок
  • Напряженность поля плоского конденсатора:
    • Напряженность поля плоского конденсатора
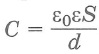
  • Электроемкость плоского конденсатора:
    • Электроемкость плоского конденсатора
  • Энергия заряженного конденсатора:
    • Энергия заряженного конденсатора
Конденсатор, электроемкость, напряженность, энергия

Поиск в инженерном справочнике DPVA. Введите свой запрос:
Дополнительная информация от Инженерного cправочника DPVA, а именно - другие подразделы данного раздела:
  • Шпаргалки по физике
  • Магия физики. Увлекаем детей физикой. Это Физика бро! Гифки.
  • Понятие вектора. Действия с векторами, их свойства - сложение и вычитание векторов, умножение на число, коллинеарность. Скалярное умножение (произведение) векторов. Проекции, разложение векторов, координаты, действия в координатах, взаимное расположение
  • Основные законы Динамики. Законы Ньютона - первый, второй, третий. Принцип относительности Галилея. Закон всемирного тяготения. Сила тяжести. Силы упругости. Вес. Силы трения - покоя, скольжения, качения + трение в жидкостях и газах.
  • Кинематика. Основные понятия. Равномерное прямолинейное движение. Равноускоренное движение. Равномерное движение по окружности. Система отсчёта. Траектория, перемещение, путь, уравнение движения, скорость, ускорение, связь линейной и угловой скорости.
  • Простые механизмы. Рычаг (рычаг первого рода и рычаг второго рода). Блок (неподвижный блок и подвижный блок). Наклонная плоскость. Гидравлический пресс. Золотое правило механики
  • Законы сохранения в механике. Механическая работа, мощность, энергия, закон сохранения импульса, закон сохранения энергии, равновесие твердых тел
  • Движение по окружности. Уравнение движения по окружности. Угловая скорость. Нормальное = центростремительное ускорение. Период, частота обращения (вращения). Связь линейной и угловой скорости
  • Механические колебания. Свободные и вынужденные колебания. Гармонические колебания. Упругие колебания. Математический маятник. Превращения энергии при гармонических колебаниях
  • Механические волны. Скорость и длина волны. Уравнение бегущей волны. Волновые явления (дифракция. интерференция...)
  • Гидромеханика и аэромеханика. Давление, гидростатическое давление. Закон Паскаля. Основное уравнение гидростатики. Сообщающиеся сосуды. Закон Архимеда. Условия плавания тел. Течение жидкости. Закон Бернулли. Формула Торричели
  • Молекулярная физика. Основные положения МКТ. Основные понятия и формулы. Свойства идеального газа. Основное уравнение МКТ. Температура. Уравнение состояния идеального газа. Уравнение Менделеева-Клайперона. Газовые законы - изотерма, изобара, изохора
  • Геометрическая оптика. Оптические системы. Зеркала. Линзы.
  • Волновая оптика. Корпускулярно-волновая теория света. Волновые свойства света. Дисперсия света. Интерференция света. Принцип Гюйгенса-Френеля. Дифракция света. Поляризация света
  • Термодинамика. Внутренняя энергия. Работа. Количество теплоты. Тепловые явления. Первый закон термодинамики. Применение первого закона термодинамики к различным процессам. Уравнение теплового балланса. Второй закон термодинамики. Тепловые двигатели
  • Вы сейчас здесь: Электростатика. Основные понятия. Электрический заряд. Закон сохранения электрического заряда. Закон Кулона. Принцип суперпозиции. Теория близкодействия. Потенциал электрического поля. Конденсатор.
  • Постоянный электрический ток. Закон Ома для участка цепи. Работа и мощность постоянного тока. Закон Джоуля-Ленца. Закон Ома для полной цепи. Закон электролиза Фарадея. Электрические цепи - последовательное и параллельное соединение. Правила Кирхгофа.
  • Электромагнитные колебания. Свободные и вынужденные электромагнитные колебания. Колебательный контур. Переменный электрический ток. Конденсатор в цепи переменного тока. Катушка индуктивности ("соленоид") в цепи переменного тока.
  • Электромагнитные волны. Понятие электромагнитной волны. Свойства электромагнитных волн. Волновые явления
  • Магнитное поле. Вектор магнитной индукции. Правило буравчика. Закон Ампера и сила Ампера. Сила Лоренца. Правило левой руки. Электромагнитная индукция, магнитный поток, правило Ленца, закон электромагнитной индукции, самоиндукция, энергия магнитного поля
  • Квантовая физика. Гипотеза Планка. Явление фотоэффекта. Уравнение Эйнштейна. Фотоны. Квантовые постулаты Бора.
  • Элементы теории относительности. Постулаты теории относительности. Относительность одновременности, расстояний, промежутков времени. Релятивистский закон сложения скоростей. Зависимость массы от скорости. Основной закон релятивистский динамики...
  • Погрешности прямых и косвенных измерений. Абсолютная, относительная погрешность. Систематические и случайные погрешности. Среднее квадратическое отклонение (ошибка). Таблица определения погрешностей косвенных измерений различных функций.
  • Поиск в инженерном справочнике DPVA. Введите свой запрос:|
    Если Вы не обнаружили себя в списке поставщиков, заметили ошибку, или у Вас есть дополнительные численные данные для коллег по теме, сообщите , пожалуйста.
    Вложите в письмо ссылку на страницу с ошибкой, пожалуйста.