Инженерный справочник DPVA.ru (ex DPVA-info)

Проект Карла III Ребане и хорошей компании
 Задвижки, фильтры, кланы, клапаны, виброкомпенсаторы ABRA
Межфланцевые прокладки. Герметики. Уплотнительные материалы

Группа в FaceBook - тыц!



Free counters!

Адрес этой страницы (вложенность) в справочнике dpva.ru:  главная страница  / / Техническая информация / / Математический справочник / / Предел функции, суммы ряда. Ограниченность функции, замечательные пределы, односторонние и бесконечные пределы, необходимые и достаточные условия существования предела функции в точке. Правила вычисления.  / / Таблица пределов. Таблица пределов функций, формулы.


  Вы сейчас находитесь в каталоге:
   Предел функции, суммы ряда. Ограниченность функции, замечательные пределы, односторонние и бесконечные пределы, необходимые и достаточные условия существования предела функции в точке. Правила вычисления.   

Таблица пределов. Таблица пределов функций, формулы.

Поделиться:   

Таблица пределов. Таблица пределов функций, формулы.  Версия для печати.

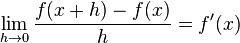
Основные правила вычисления пределов.

Таблица пределов. Таблица пределов функций, формулы.  Версия для печати. Основные правила вычисления пределов. Предел f(x) при x стремящемся к c. Таблица пределов функций Предел f(x)+g(x) при x стремящемся к c. Таблица пределов функций Предел f(x) умножить на g(x) при x стремящемся к c. Таблица пределов функций Предел f(x)/g(x) при x стремящемся к c. Таблица пределов функций Предел f(x) в степени n при x стремящемся к c. Таблица пределов функций Предел f(x) d cntgtyb 1/n при x стремящемся к c. Таблица пределов функций Предел f(x)/g(x) при x стремящемся к c. Таблица пределов функций Примечательные пределы Значимые специальные пределы Пределы простейших функций Пределы логарифмических и степенных функций: Пределы тригонометрических функций: Предел синуса. Таблица пределов функций Предел косинуса. Таблица пределов функций Пределы при стремлении переменной к бесконечности:
Предел f(x) при x стремящемся к c. Таблица пределов функций
Предел f(x)+g(x) при x стремящемся к c. Таблица пределов функций
Предел f(x) умножить на g(x) при x стремящемся к c. Таблица пределов функций
Предел f(x)/g(x) при x стремящемся к c. Таблица пределов функций
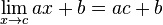
Предел f(x) в степени n при x стремящемся к c. Таблица пределов функций
Предел f(x) d cntgtyb 1/n при x стремящемся к c. Таблица пределов функций
Предел f(x)/g(x) при x стремящемся к c. Таблица пределов функций

Примечательные пределы:

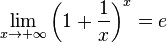
Примечательные пределы 1 Таблица пределов функций
Примечательные пределы 2 Таблица пределов функций
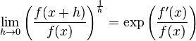
Примечательные пределы 3 Таблица пределов функций

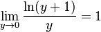
Значимые специальные пределы:

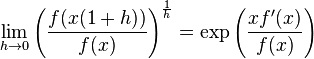
Значимые специальные пределы 1 Таблица пределов функций
Значимые специальные пределы 2 Таблица пределов функций
Значимые специальные пределы 3 Таблица пределов функций
Значимые специальные пределы 4 Таблица пределов функций
Значимые специальные пределы 5 Таблица пределов функций
Значимые специальные пределы 5 Таблица пределов функций
Значимые специальные пределы 7 Таблица пределов функций

Пределы простейших функций:

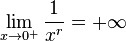
Пределы простейших функций 1 Таблица пределов функций
Пределы простейших функций 2 Таблица пределов функций
Пределы простейших функций 3 Таблица пределов функций
Пределы простейших функций 4 Таблица пределов функций
Пределы простейших функций 5 Таблица пределов функций
Пределы простейших функций 6 Таблица пределов функций

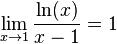
Пределы логарифмических и степенных функций:

Пределы логарифмических и степенных функций 1 Таблица пределов функций
Пределы логарифмических и степенных функций 2 Таблица пределов функций
Пределы логарифмических и степенных функций 3 Таблица пределов функций
Пределы логарифмических и степенных функций 4 Таблица пределов функций
Пределы логарифмических и степенных функций 5 Таблица пределов функций
Пределы логарифмических и степенных функций 6 Таблица пределов функций

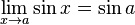
Пределы тригонометрических функций:

Предел синуса. Таблица пределов функций
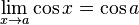
Предел косинуса. Таблица пределов функций
Если для х выраженного в радианах  выражена в радианах:
Пределы тригонометрических функций 1. Таблица пределов функций
Пределы тригонометрических функций 2. Таблица пределов функций
Пределы тригонометрических функций 3. Таблица пределов функций
Пределы тригонометрических функций 4. Таблица пределов функций
Пределы тригонометрических функций 5. Таблица пределов функций
Пределы тригонометрических функций 6. Таблица пределов функций

Пределы при стремлении переменной к бесконечности:

Пределы при стремлении переменной к бесконечности 1. Таблица пределов функций
Пределы при стремлении переменной к бесконечности 2. Таблица пределов функций
Пределы при стремлении переменной к бесконечности 3. Таблица пределов функций
Пределы при стремлении переменной к бесконечности 4. Таблица пределов функций
Пределы при стремлении переменной к бесконечности 5. Таблица пределов функций
Пределы при стремлении переменной к бесконечности 6. Таблица пределов функций
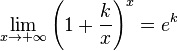
Пределы при стремлении переменной к бесконечности 7. Таблица пределов функций
Пределы при стремлении переменной к бесконечности 8. Таблица пределов функций
Пределы при стремлении переменной к бесконечности 9. Таблица пределов функций

Поиск в инженерном справочнике DPVA. Введите свой запрос:
Дополнительная информация от Инженерного cправочника DPVA, а именно - другие подразделы данного раздела:
Поиск в инженерном справочнике DPVA. Введите свой запрос:|
Если Вы не обнаружили себя в списке поставщиков, заметили ошибку, или у Вас есть дополнительные численные данные для коллег по теме, сообщите , пожалуйста.
Вложите в письмо ссылку на страницу с ошибкой, пожалуйста.