Инженерный справочник DPVA.ru (ex DPVA-info)

Проект Карла III Ребане и хорошей компании
 Задвижки, фильтры, кланы, клапаны, виброкомпенсаторы ABRA
Межфланцевые прокладки. Герметики. Уплотнительные материалы

Группа в FaceBook - тыц!



Free counters!

Адрес этой страницы (вложенность) в справочнике dpva.ru:  главная страница  / / Техническая информация / / Математический справочник / / Предел функции, суммы ряда. Ограниченность функции, замечательные пределы, односторонние и бесконечные пределы, необходимые и достаточные условия существования предела функции в точке. Правила вычисления.  / / Виды и правила раскрытия неопределенностей при вычислении пределов


  Вы сейчас находитесь в каталоге:
   Предел функции, суммы ряда. Ограниченность функции, замечательные пределы, односторонние и бесконечные пределы, необходимые и достаточные условия существования предела функции в точке. Правила вычисления.   

Виды и правила раскрытия неопределенностей при вычислении пределов

Поделиться:   

Виды определенностей и неопределенностей при вычислении пределов

Виды определенностей Виды неопределенностей
Виды определенностей при вычислении пределов Виды неопределенностей при вычислении пределов
Виды определенностей и неопределенностей при вычислении пределов. Правила раскрытия неопределенностей при вычислении пределов

Правила раскрытия неопределенностей при вычислении пределов

Вид неопределенности Правило раскрытия неопределенностей при вычислении пределов
Тип 1. Неопределенность типа бесконечность/бесконечность 1.1. Чтобы раскрыть неопределенность вида Неопределенность типа бесконечность/бесконечность, заданную отношением двух многочленов, надо и числитель и знаменатель почленно разделить на переменную величину в наибольшей степени.
1.2. Для раскрытия неопределенности вида Неопределенность типа бесконечность/бесконечность, заданную отношением иррациональных функций, надо и числитель и знаменатель почленно разделить на переменную величину в наибольшей степени с учетом степеней корней.
Тип 2. Неопределенность типа ноль/ноль 2.1. Для того, чтобы определить предел дробно-рациональной функции в случае, когда при x → a числитель и знаменатель дроби имеют пределы, равные нулю, надо числитель и знаменатель дроби разделить на x - a и перейти к пределу. Если и после этого числитель и знаменатель новой дроби имеют пределы, равные нулю при x → a, то надо произвести повторное деление на x - a.
2.2. Чтобы раскрыть неопределенность вида Неопределенность типа ноль/ноль, в которой числитель или знаменатель иррациональны, следует надлежащим образом избавиться от иррациональности, умножив и числитель и знаменатель дроби на одно и то же выражение, приводящее к формулам сокращенного умножения. Неопределенность устраняется после сокращения дроби. В случае квадратных корней и числитель и знаменатель дроби умножаются на сопряженное выражение тому, которое содержит иррациональность и применяется формула . В случае кубических корней и числитель и знаменатель дроби умножаются на неполный квадрат суммы или разности и применяется формула a3 ± b3 = (a ± b)(a2 ∓ ab + b2).
Тип 3. Неопределенность типа бесконечность - бесконечность 3.1. Неопределенность вида Неопределенность типа бесконечность - бесконечность, получающаяся в результате алгебраической суммы иррациональных выражений, устраняется или приводится к типу 1 путем домножения и деления на одно и то же выражение, приводящее к формулам сокращенного умножения. В случае квадратных корней разность домножается на сопряженное выражение и применяется формула a2 – b2 = (a – b)(a + b) . В случае кубических корней функция домножается на неполный квадрат суммы или разности и применяется формула a3 ± b3 = (a ± b)(a2 ∓ ab + b2).

3.2. Неопределенность вида Неопределенность типа бесконечность - бесконечность, получающаяся в результате алгебраической суммы двух дробей, устраняется или сводится к типу 2 Неопределенность типа ноль/ноль путем приведения дробей к общему знаменателю.

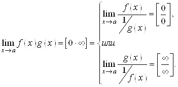
Пусть: Предел функции f(x) , Предел функции g(x) . Тогда:

Предел разности функции f(x) и g(x) Приведение к общему знаменателю

4. Замечательные пределы

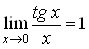
4.1. Первый замечательный предел (неопределенность Неопределенность типа ноль/ноль). В случае, когда под знаком предела стоят тригонометрические функции, дающие неопределенность Неопределенность типа ноль/ноль, используется первый замечательный предел: Первый замечательный предел - форма 1.

Его различные формы: Первый замечательный предел - форма 1Первый замечательный предел - форма 2, Первый замечательный предел - форма 3, Первый замечательный предел - форма 4, Первый замечательный предел - форма 5, Первый замечательный предел - форма 6, Первый замечательный предел - форма 7.

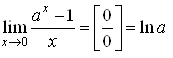
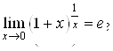
4.2. Второй замечательный предел (неопределенность Непределенность вида единица в степени бесконечность): Второй замечательный предел - форма 1.

Его различные формы: Второй замечательный предел - форма 2, Второй замечательный предел - форма 3, Второй замечательный предел - форма 4, Второй замечательный предел - форма 5, Второй замечательный предел - форма 6

Тип 5. Неопределенность типа ноль*бесконечность

5.1. Неопределенность вида Неопределенность типа ноль*бесконечность сводится либо к неопределенности типа 1 Неопределенность типа бесконечность/бесконечность, либо к неопределенности типа 2 Неопределенность типа ноль/ноль путем перемещения в знаменатель одного из сомножителей.

Пусть Предел функции f(x) , Предел функции g(x) . Тогда:

Перемещение сомножителя в знаменатель

Тип 6. Неопределенность типа бесконечность в степени ноль и Неопределенность типа ноль в степени ноль 6.1. Неопределенности вида Неопределенность типа бесконечность в степени ноль, Неопределенность типа ноль в степени ноль сводятся к неопределенности типа 5 Неопределенность типа ноль*бесконечность путем логарифмирования.

Поиск в инженерном справочнике DPVA. Введите свой запрос:
Дополнительная информация от Инженерного cправочника DPVA, а именно - другие подразделы данного раздела:
Поиск в инженерном справочнике DPVA. Введите свой запрос:|
Если Вы не обнаружили себя в списке поставщиков, заметили ошибку, или у Вас есть дополнительные численные данные для коллег по теме, сообщите , пожалуйста.
Вложите в письмо ссылку на страницу с ошибкой, пожалуйста.