Инженерный справочник DPVA.ru (ex DPVA-info)

Проект Карла III Ребане и хорошей компании
 Задвижки, фильтры, кланы, клапаны, виброкомпенсаторы ABRA
Межфланцевые прокладки. Герметики. Уплотнительные материалы

Группа в FaceBook - тыц!



Free counters!

Адрес этой страницы (вложенность) в справочнике dpva.ru:  главная страница  / / Техническая информация / / Математический справочник / / Комплексные числа. Мнимая единица.  / / Формы записи, правила операций и примеры операций над комплексными (мнимыми) числами.


  Вы сейчас находитесь в каталоге:
   Комплексные числа. Мнимая единица.   

Формы записи, правила операций и примеры операций над комплексными (мнимыми) числами.

Поделиться:   

Формы записи, правила операций и примеры операций над комплексными (мнимыми) числами.

Операции Формы записи комплексных чисел
Алгебраическая Тригонометрическая Показательная
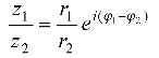
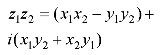
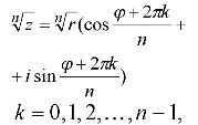
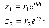
 Алгебраическая запись комплексных чисел  Тригонометрическая запись комплексных чисел  Показательная форма записи комплексных чисел
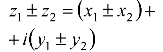
Сложение Сложение комплексных чисел - -
Умножение Умножение комплексных чисел - вариант 1 Умножение комплексных чисел - вариант 2 Умножение комплексных чисел - вариант 3
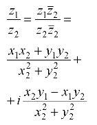
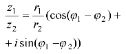
Деление Деление комплексных чисел - вариант 1 Деление комплексных чисел - вариант 2 Деление комплексных чисел - вариант 3
Возведение в степень - Возведение комплексных чисел в степень - вариант 1 Возведение комплексных чисел в степень - вариант 2
Извлечение корня - Извлечение корня из комплексных чисел -

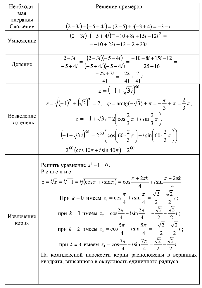
Примеры операций над комплексными числами

Примеры операций сложения, умножения, деления, извлечения корня, возведения в степень над комплексными числами


Поиск в инженерном справочнике DPVA. Введите свой запрос:
Дополнительная информация от Инженерного cправочника DPVA, а именно - другие подразделы данного раздела:
Поиск в инженерном справочнике DPVA. Введите свой запрос:|
Если Вы не обнаружили себя в списке поставщиков, заметили ошибку, или у Вас есть дополнительные численные данные для коллег по теме, сообщите , пожалуйста.
Вложите в письмо ссылку на страницу с ошибкой, пожалуйста.