Инженерный справочник DPVA.ru (ex DPVA-info)

Проект Карла III Ребане и хорошей компании
 Задвижки, фильтры, кланы, клапаны, виброкомпенсаторы ABRA
Межфланцевые прокладки. Герметики. Уплотнительные материалы

Группа в FaceBook - тыц!



Free counters!

Адрес этой страницы (вложенность) в справочнике dpva.ru:  главная страница  / / Техническая информация / / Математический справочник / / Геометрические фигуры. Свойства, формулы: периметры, площади, объемы, длины. Треугольники, Прямоугольники и т.д. Градусы в радианы.  / / Вычисление поверхностей, боковых поверхностей, расстояний до центров тяжести и объемов Цилиндра, Пирамиды, Полого цилиндра (трубы), Косорезанного цилиндра, Шара, Шарового сектора, Шарового сегмента, Конуса, Усеченной пирамиды, Усеченного конуса, Тора.


  Вы сейчас находитесь в каталоге:
   Геометрические фигуры. Свойства, формулы: периметры, площади, объемы, длины. Треугольники, Прямоугольники и т.д. Градусы в радианы.   

Вычисление поверхностей, боковых поверхностей, расстояний до центров тяжести и объемов Цилиндра, Пирамиды, Полого цилиндра (трубы), Косорезанного цилиндра, Шара, Шарового сектора, Шарового сегмента, Конуса, Усеченной пирамиды, Усеченного конуса, Тора.

Поделиться:   

Вычисление поверхностей, площадей боковых поверхностей, расстояний (положений) до центров тяжести и объемов Цилиндра, Пирамиды, Полого цилиндра (трубы), Косорезанного цилиндра, Шара, Шарового сектора, Шарового сегмента, Конуса, Усеченной пирамиды, Усеченного конуса, Тора.

(Исправлена опечатка 17 мая 2016 года)
Легенда
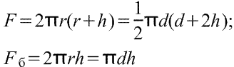
  • F - Поверхность
  • Fб - Боковая поверхность
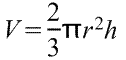
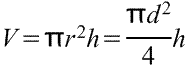
  • V - Объем
  • π - математическая константа (3,14)
  • h - высота (ширина)
  • R, r - Радиусы
  • d - Диаметр
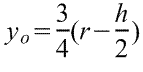
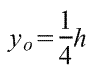
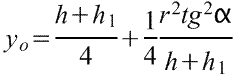
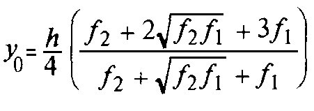
  • yo, xo - Положение центра тяжести
  • δ - Толщина (r-r1)
  • с - Диаметр окружности сечения
  • f1, f2 - Площади верхнего и нижнего оснований
Фигура
Поверхность F. Боковая поверхность Fб.
Расстояние до центра тяжести хo, уo.
Объем V.
Вычисление площадей поверхностей, боковых поверхностей, расстояний до центров тяжести и объема цилиндра Цилиндр. Поверхность. Поверхность боковая. Цилиндр. Расстояние до центра тяжести. Цилиндр. Объем.
Вычисление площадей поверхностей, боковых поверхностей, расстояний до центров тяжести и объема  пирамиды Fб = сумме площадей треугольников
+ площадь основания
Пирамида. Расстояние до центра тяжести. Пирамида. Объем.
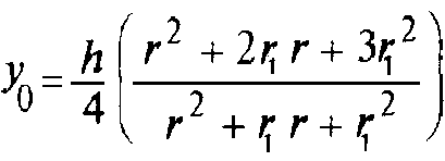
Вычисление площадей поверхностей, боковых поверхностей, расстояний до центров тяжести и объема полого цилиндра = трубы Fб = внутренняя + внешняя поверхность Труба. Расстояние до центра тяжести Труба. Объем
Вычисление площадей поверхностей, боковых поверхностей, расстояний до центров тяжести и объема косорезанного цилиндра Косорезанный цилиндр. Поверхность. Боковая поверхность. Косорезанный цилиндр. Расстояние до центра. Косорезанный цилиндр. Объем.
Вычисление площадей поверхностей, боковых поверхностей, расстояний до центров тяжести и объема шара Шар. Поверхность. Боковая поверхность. ___________________ Шар. Объем.
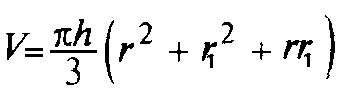
Вычисление площадей поверхностей, боковых поверхностей, расстояний до центров тяжести и объема шарового сектора Шаровой сектор. Поверхность. Поверхность боковая. Шаровой сектор. Расстояние до центра. Шаровой сектор. Объем.
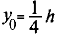
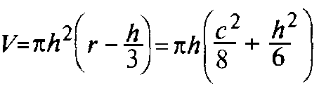
Вычисление площадей поверхностей, боковых поверхностей, расстояний до центров тяжести и объема шарового сегмента Шаровой сегмент. Поверхность. Боковая поверхность. Шаровой сегмент. Расстояние до центра тяжести. Шаровой сегмент.Объем.
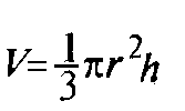
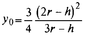
Вычисление площадей поверхностей, боковых поверхностей, расстояний до центров тяжести и объема конуса Конус. Поверхность. Боковая поверхность. Конус. Расстояние до центра тяжести. Конус.Объем.
Вычисление площадей поверхностей, боковых поверхностей, расстояний до центров тяжести и объема усеченной пирамиды Fб =сумме площадей трапеций,
верхнего и нижнего оснований.
Усеченная пирамида. Расстояние до центра тяжести. Усеченная пирамида.Объем.
Вычисление площадей поверхностей, боковых поверхностей, расстояний до центров тяжести и объема усеченного конуса Усеченный конус. Поверхность. Боковая поверхность. Усеченный конус. Расстояние до центра тяжести. Усеченный конус.Объем.
Вычисление площадей поверхностей, боковых поверхностей, расстояний до центров тяжести и объема тора = "бублика" = оринга Тор. Поверхность. Боковая поверхность. Тор. Расстояние до центра тяжести. Тор. Усеченный конус.Объем.

*Тор - кольцо, оринг.


Поиск в инженерном справочнике DPVA. Введите свой запрос:
Дополнительная информация от Инженерного cправочника DPVA, а именно - другие подразделы данного раздела:
  • Плоские фигуры. Свойства, стороны, углы, признаки, периметры, равенства, подобия, хорды, секторы, площади и т.д.
  • Объемы простых тел. Прямоугольный параллелепипед, Цилиндр, Пирамида, Конус, Сфера, Параллелепипед.
  • Площадь поверхности и объем геометрических тел. Прямые призмы. Правильные пирамиды. Круговые цилиндры. Круговые конусы. Шар и его части. Примерно 8 класс (14 лет)
  • Объемы и площади поверхностей усеченных пирамид и конусов.
  • Объем и площадь шарового слоя и шарового пояса.
  • Объемы подобных тел.
  • Площади неправильных фигур, объемы неправильных тел. Средняя величина сигнала. Формулы и способы расчета площади.
  • Вы сейчас здесь: Вычисление поверхностей, боковых поверхностей, расстояний до центров тяжести и объемов Цилиндра, Пирамиды, Полого цилиндра (трубы), Косорезанного цилиндра, Шара, Шарового сектора, Шарового сегмента, Конуса, Усеченной пирамиды, Усеченного конуса, Тора.
  • Пересечение кругов и окружностей. Площадь пересечения и прочие элементы задачи.
  • Формулы развёрток врезки штуцера в трубу, шар, конус, отвод (тор), сечения трубы, конуса плоскостью, вырезов отверстий в плоскости, трубе, конусе. Сочленение труб и резервуаров. Пересечение труб, штуцеров, сгонов.
  • Формулы перевода градусов в радианы (градусной меры угла в радианную), длин, площадей и объемов основных геометрических фигур.
  • Расчет объема заполнения и других физических характеристик содержимого горизонтального цилиндрического резервуара (бака, трубы) по уровню.
  • Расчет объема заполнения и других физических характеристик содержимого шарового резервуара (бака) по уровню.
  • Расчет объема заполнения и других физических характеристик содержимого цистерны с шаровыми заглушками по уровню.
  • Поиск в инженерном справочнике DPVA. Введите свой запрос:|
    Если Вы не обнаружили себя в списке поставщиков, заметили ошибку, или у Вас есть дополнительные численные данные для коллег по теме, сообщите , пожалуйста.
    Вложите в письмо ссылку на страницу с ошибкой, пожалуйста.