Инженерный справочник DPVA.ru (ex DPVA-info)

Проект Карла III Ребане и хорошей компании
 Задвижки, фильтры, кланы, клапаны, виброкомпенсаторы ABRA
Межфланцевые прокладки. Герметики. Уплотнительные материалы

Группа в FaceBook - тыц!



Free counters!

Адрес этой страницы (вложенность) в справочнике dpva.ru:  главная страница  / / Техническая информация / / Математический справочник / / Интегральное и дифференциальное исчисление. Табличные производные и интегралы. Таблица производных. Таблица интегралов. Таблица первообразных. Найти производную. Найти интеграл. Диффуры.  / / Большая таблица интегралов (первообразных). Таблица интегралов полная для студентов. Интегралы от рациональных функций. Интегралы от трансцендентных функций. Интегралы от иррациональных функций. Интегралы от тригонометрических функций.


  Вы сейчас находитесь в каталоге:
   Интегральное и дифференциальное исчисление. Табличные производные и интегралы. Таблица производных. Таблица интегралов. Таблица первообразных. Найти производную. Найти интеграл. Диффуры.   

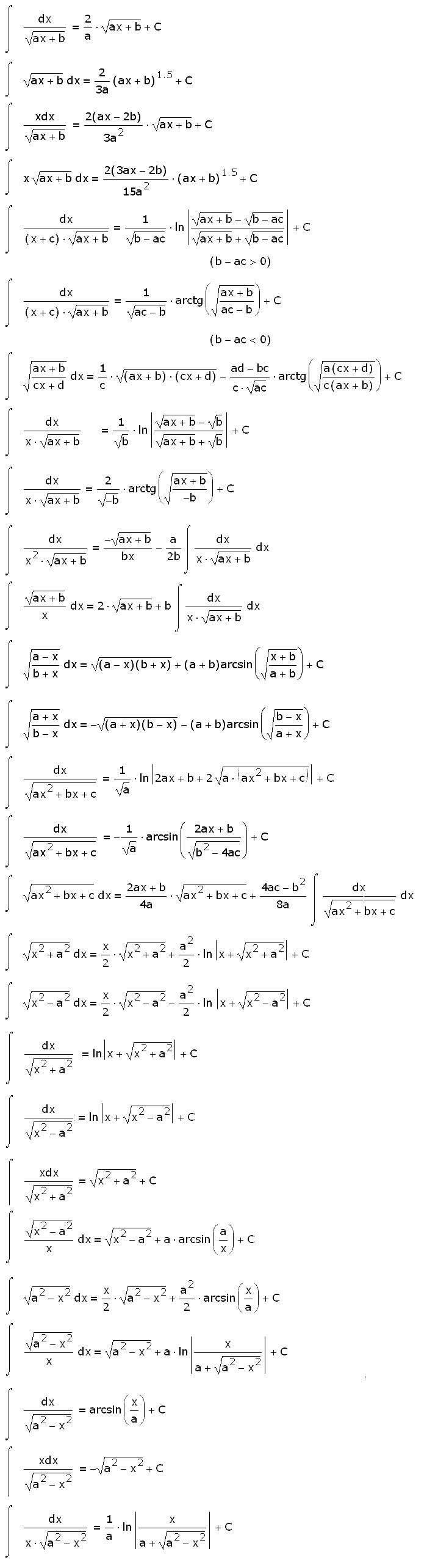
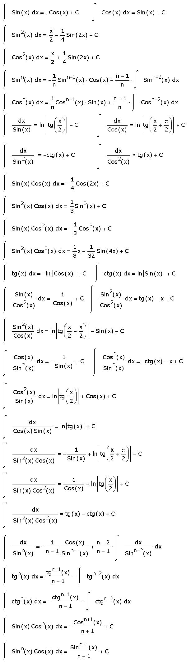
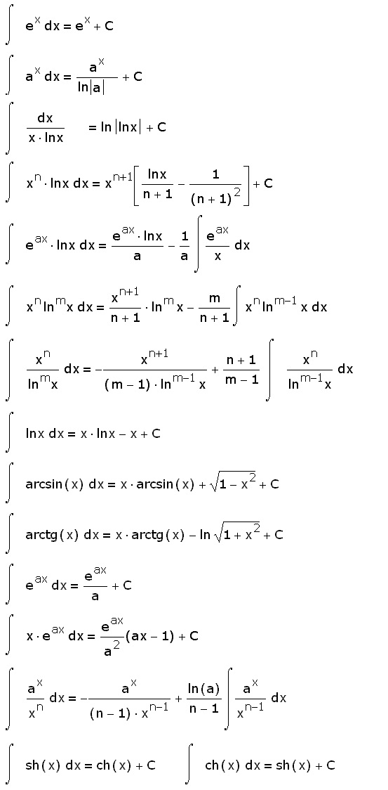
Большая таблица интегралов (первообразных). Таблица интегралов полная для студентов. Интегралы от рациональных функций. Интегралы от трансцендентных функций. Интегралы от иррациональных функций. Интегралы от тригонометрических функций.

Поделиться:   

Большая таблица интегралов (первообразных). Таблица интегралов полная для студентов. Интегралы от рациональных функций. Интегралы от трансцендентных функций. Интегралы от иррациональных функций. Интегралы от тригонометрических функций.


Поиск в инженерном справочнике DPVA. Введите свой запрос:
Дополнительная информация от Инженерного cправочника DPVA, а именно - другие подразделы данного раздела:
  • Производная функции. Понятие производной. Геометрический смысл производной. Физический смысл производной. Правила дифференцирования. Производная сложной функции. Достаточное условие монотонности функции. Необходимое и достаточное условия экстремума
  • Интегрирование функций. Понятие и основное свойство первообразной. Неопределенный интеграл. Правила интегрирования. Определенный интеграл. Формула Ньютона-Лейбница. Свойства геометрический и физический смысл определенного интеграла
  • Таблица первообразных. Таблица интегралов. Таблица неопределенных интегралов. Формулы интегралов. Формулы первообразных.
  • Вы сейчас здесь: Большая таблица интегралов (первообразных). Таблица интегралов полная для студентов. Интегралы от рациональных функций. Интегралы от трансцендентных функций. Интегралы от иррациональных функций. Интегралы от тригонометрических функций.
  • Таблицы неопределенных интегралов. Смолянский М.Л. ГИФМЛ 1963.
  • Таблица производных. Таблица производных полная для студентов и правила дифференцирования. Таблица производных функций. Табличные производные. Формулы производных.
  • Формулы интегрирования по частям. Формула Ньютона-Лейбница. Правила интегрирования.
  • Формулы. Производная произведения. Производная частного. Производная сложной функции.Правила дифференцирования.
  • Таблица производных функций высших порядков. n-ная производная функции.
  • Решение дифференциальных уравнений (диффуров). Дифференциальные уравнения, порядок дифференциального уравнения. Системы дифференциальных уравнений.
  • Поиск в инженерном справочнике DPVA. Введите свой запрос:|
    Если Вы не обнаружили себя в списке поставщиков, заметили ошибку, или у Вас есть дополнительные численные данные для коллег по теме, сообщите , пожалуйста.
    Вложите в письмо ссылку на страницу с ошибкой, пожалуйста.