Инженерный справочник DPVA.ru (ex DPVA-info)

Проект Карла III Ребане и хорошей компании
 Задвижки, фильтры, кланы, клапаны, виброкомпенсаторы ABRA
Межфланцевые прокладки. Герметики. Уплотнительные материалы

Группа в FaceBook - тыц!



Free counters!

Адрес этой страницы (вложенность) в справочнике dpva.ru:  главная страница  / / Техническая информация / / Математический справочник / / Системы координат. Прямоугольная декартова, полярная, цилиндрическая и сферическая. Двухмерные и трехмерные.  / / Метод координат на плоскости (прямоугольная декартова система координат)


  Вы сейчас находитесь в каталоге:
   Системы координат. Прямоугольная декартова, полярная, цилиндрическая и сферическая. Двухмерные и трехмерные.   

Метод координат на плоскости (прямоугольная декартова система координат)

Поделиться:   

Метод координат на плоскости (прямоугольная декартова система координат)

Основные задачи Поясняющий рисунок Расчетная формула
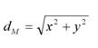
Расстояние между точками Расстояние между точками Расстояние от точки до начала координат Расстояние между точками
Расстояние от точки до
начала координат
Расстояние от точки до начала координат
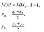
Координаты точки, делящей
отрезок в данном отношении λ
Координаты точки, делящей отрезок в данном отношении λ . Координаты середины отрезка Координаты точки, делящей отрезок в данном отношении λ
Координаты середины отрезка Координаты середины отрезка
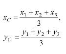
Координаты центра тяжести
треугольника (С -точка пересечения
медиан треугольника)
Координаты центра тяжести треугольника (С -точка пересечения медиан треугольника) Координаты центра тяжести треугольника (С -точка пересечения медиан треугольника)

Поиск в инженерном справочнике DPVA. Введите свой запрос:
Дополнительная информация от Инженерного cправочника DPVA, а именно - другие подразделы данного раздела:
Поиск в инженерном справочнике DPVA. Введите свой запрос:|
Если Вы не обнаружили себя в списке поставщиков, заметили ошибку, или у Вас есть дополнительные численные данные для коллег по теме, сообщите , пожалуйста.
Вложите в письмо ссылку на страницу с ошибкой, пожалуйста.