Инженерный справочник DPVA.ru (ex DPVA-info)

Проект Карла III Ребане и хорошей компании
 Задвижки, фильтры, кланы, клапаны, виброкомпенсаторы ABRA
Межфланцевые прокладки. Герметики. Уплотнительные материалы

Группа в FaceBook - тыц!



Free counters!

Адрес этой страницы (вложенность) в справочнике dpva.ru:  главная страница  / / Техническая информация / / Оборудование / / Трубопроводная арматура. Краны, клапаны, задвижки.... Расчет клапана, подбор задвижки, выбор вентиля или крана.  / / Формулы расчета. Расход воды и сходных жидкостей через кран (клапан), падение давления, выбор размера крана (клапана, вентиля, затвора, задвижки и т.п.) Зависимость падения давления ΔP, объемного расхода G, и пропускной способности Kv. Расчет и подбор.


  Вы сейчас находитесь в каталоге:
   Трубопроводная арматура. Краны, клапаны, задвижки.... Расчет клапана, подбор задвижки, выбор вентиля или крана.   

Формулы расчета. Расход воды и сходных жидкостей через кран (клапан), падение давления, выбор размера крана (клапана, вентиля, затвора, задвижки и т.п.) Зависимость падения давления ΔP, объемного расхода G, и пропускной способности Kv. Расчет и подбор.

Поделиться:   

Формулы расчета. Расход воды и сходных жидкостей через кран (клапан), падение давления, выбор размера крана (клапана, вентиля, затвора, задвижки и т.п.) Зависимость падения давления ΔP, объемного расхода G, и пропускной способности K. Расчет клапана, крана или вентиля, подбор клапана, крана или вентиля.

Формулы расчета. Расход воды и сходных жидкостей через через кран (клапан), падение давления, выбор размера крана (клапана, вентиля, затвора, задвижки и т.п.)
Формулы расчета. Расход воды и сходных жидкостей через кран (клапан), падение давления, выбор размера крана (клапана, вентиля, затвора, задвижки и т.п.)
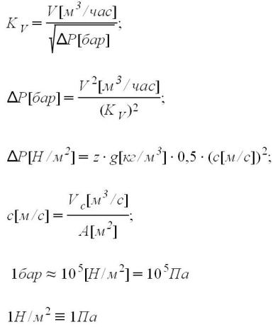
c Скорость ламинарного потока среды - м/с
V Объемный расход через клапан - м3/час
Vc Объемный расход через клапан - м3
А Площадь сечения - м2
g Плотность - кг/м3
Kv Пропускная способность. Фактически это "сколько кубометров воды в час пропускает кран при падении давления 1 бар", но помним, что при таком перепаде на клапане - поток почти всегда уже не ламинарный! т.е. для запорного, например, крана разумный расход по воде во избежание существенной потери давления должен быть не более 1/3 от Kv.
z Коэффициент сопротивления клапана
ΔP Падение давления, перепад давления ! следите за размерностью !

Зависимость падения давления ΔP (бар, Па, кПа), объемного расхода G (м3/ч, кг/ч) по воде, и пропускной способности Kv крана, клапана, задвижки, вентиля:

Зависимость падения давления ΔP (бар, Па, кПа), объемного расхода G (м3/ч, кг/ч) по воде, и пропускной способности Kv крана, клапана, задвижки, вентиля: Распечатать: Формулы расчета. Расход воды и сходных жидкостей через кран (клапан), падение давления, выбор размера крана (клапана, вентиля, затвора, задвижки и т.п.) Зависимость падения давления ΔP, объемного расхода G, и пропускной способности Kv . Расчет клапана, крана или вентиля, подбор клапана, крана или вентиля

Поиск в инженерном справочнике DPVA. Введите свой запрос:
Дополнительная информация от Инженерного cправочника DPVA, а именно - другие подразделы данного раздела:
  • Диаметр условный в дюймовом обозначении. Ду и DN в дюймах.Таблица соответствия метрических и дюймовых присоединительных размеров труб, трубопроводной арматуры, насосов, фланцев и всякого другого оборудования."Ду в DN". Dn (Ду) - дюймы.
  • Номинальные (условные) давления PN (Ру). Номинальные (условные) диаметры DN (Ду). Классы давления, температуры, герметичности
  • Рекомендации по выбору типа запорной арматуры в зависимости от условий эксплуатации / в зависимости от предъявляемых монтажных и конструкционных требований.
  • Типы присоединений трубопроводной арматуры к трубопроводу и другому технологическому оборудованию. Типы патрубков кранов, задвижек, затворов, вентилей, клапанов и др. трубопроводной арматуры
  • Таблицы зависимости максимального рабочего давления PN6, PN10, PN16, PN25, PN40, PN63, PN100..., PN400 от температуры для трубопроводной арматуры из чугуна, углеродистой стали и нержавеющей стали. Давление/Температура/Материал
  • Таблица Давление - Температура по ANSI / ASME / ASTM в зависимости от материала крана, клапана, задвижки и т.д. Классы давления #150, #300, #600, #800, #900, #1500. Влияние температуры на максимальное рабочее давление. Давление/Температура/Материал
  • Проходной клапан, Угловой клапан, Осевой клапан, Трехосевой клапан, Клапан с коленом, Левое и правое присоединение. Исполнения (типы) кранов, клапанов, вентилей, термостатов радиаторных и пр.
  • Пошаговая методика-инструкция и правила подбора регулирующих клапанов по Kv (выбор Kvs). Методика подбора трубопроводной арматуры по расходным характеристикам от DPVA.ru
  • Вы сейчас здесь: Формулы расчета. Расход воды и сходных жидкостей через кран (клапан), падение давления, выбор размера крана (клапана, вентиля, затвора, задвижки и т.п.) Зависимость падения давления ΔP, объемного расхода G, и пропускной способности Kv. Расчет и подбор.
  • Расчет, подбор и выбор регулирующих и запорных клапанов (вентилей) по пропускной способности на воде, для жидкости, водяного пара или газа. Выбор регулирующей трубопроводной арматуры по Кv. Формулы для расчета объемного расхода жидкости через Kv
  • Пропускная способность Cv (flow coefficient) и пропускная способность Kv (flow factor). Расчет клапана, подбор задвижки, выбор вентиля или крана.
  • Сложение пропускных способностей Kv и Cv при параллельной и последовательной установке клапанов. Расчет клапана, подбор задвижки, выбор вентиля или крана.
  • Подбор регулирующего клапана для воды по пропускной способности. Оценка Kv в зависимости от перепада и массового или объемного расхода.Расчет клапана, подбор задвижки, выбор вентиля или крана.
  • Коэффициенты местных гидравлических сопротивлений трубопроводов (труб), кранов, клапанов, фильтров, стояков, сгонов, переходов, углов, тройников и др. элементов систем трубопроводов и гидравлики.
  • Давление насыщенных паров, давление вскипания, давление кавитации
  • Грубая оценка необходимого размера предохранительного клапана, в зависимости от номинальной мощности отопительного или водогрейного котла / бака. Расчет предохранительного клапана.
  • Распорное - тяговое усилие, создаваемое давлением внутри гибкой вставки - компенсатора. Pressure Thrust. Реакция компенсатора (вибровставки) на трубопровод.
  • Строительные длины трубопроводной арматуры. Длины задвижек, затворов, кранов, клапанов, вентилей, шиберов.
  • Сочленения и присоединения.
  • Марки чугунов и их зарубежные аналоги. Механические свойства чугунов. Толщина сопрягаемых стенок и радиусы закруглений. Толщины стенок цилиндрических и шаровых частей литых корпусов и крышек. СТ ЦКБА 050.
  • Сокращения и аббревиатуры английские, используемые в чертежах и документации на краны, клапаны, задвижки и вентили США (USA), Канады, Юго-Восточной Азии, Китая
  • Китайские и международные страндарты трубопроводной арматуры. GB и соответствующие им ISO, ASTM , ASME, ANSI, MSS, API и JIS.
  • Влияние давления в конденсатной трубе на производительность конденсатоотводчика.
  • Таблица соответствия ASTM спецификаций сталей фитингов, фланцев, переходов, сгонов, кованых и литых кранов и клапанов.
  • Таблица. Температурные пределы применимости и некоторые рекомендации для ASTM литых сталей и сплавов (в трубопроводной арматуре).
  • Таблица. Обозначения и химсостав металлов и сплавов, используемых в арматуростроении в США
  • 2D и 3D модели (габаритные чертежи) + BIM (REVIT .rfa ...) модели трубопроводной арматуры
  • Поиск в инженерном справочнике DPVA. Введите свой запрос:|
    Если Вы не обнаружили себя в списке поставщиков, заметили ошибку, или у Вас есть дополнительные численные данные для коллег по теме, сообщите , пожалуйста.
    Вложите в письмо ссылку на страницу с ошибкой, пожалуйста.