Инженерный справочник DPVA.ru (ex DPVA-info)

Проект Карла III Ребане и хорошей компании
 Задвижки, фильтры, кланы, клапаны, виброкомпенсаторы ABRA
Межфланцевые прокладки. Герметики. Уплотнительные материалы

Группа в FaceBook - тыц!



Free counters!

Адрес этой страницы (вложенность) в справочнике dpva.ru:  главная страница  / / Техническая информация / / Физический справочник / / Климат. Климатические данные. Природные данные / / СНиП 23-01-99. Строительная климатология. (Статистика климатических данных)  / / СНиП 23-01-99. Строительная климатология. Приложение А (справочное). Методы расчета климатических параметров


  Вы сейчас находитесь в каталоге:
   СНиП 23-01-99. Строительная климатология. (Статистика климатических данных)   

СНиП 23-01-99. Строительная климатология. Приложение А (справочное). Методы расчета климатических параметров

Поделиться:   

СНиП 23-01-99. Строительная климатология. Приложение А (справочное). Методы расчета климатических параметров

  • Основой для разработки климатических параметров послужили Научно-прикладной справочник по климату СССР, вып.1-34, части 1-6 (Гидрометеоиздат, 1987-1998) и данные наблюдений на метеорологических станциях.
  • Средние значения климатических параметров (средняя месячная температура и влажность воздуха, среднее за месяц количество осадков) представляют собой сумму среднемесячных значений членов ряда (лет) наблюдений, деленную на их общее число.
  • Крайние значения климатических параметров (абсолютная минимальная и абсолютная максимальная температура воздуха, суточный максимум осадков) характеризуют те пределы, в которых заключены значения климатических параметров. Эти характеристики выбирались из экстремальных за сутки наблюдений.
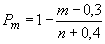
  • Температура воздуха наиболее холодных суток и наиболее холодной пятидневки рассчитана как значение, соответствующее обеспеченности 0,98 и 0,92 из ранжированного ряда температуры воздуха наиболее холодных суток (пятидневок) и соответствующих им обеспеченностей за период с 1925 по 1980 гг. Хронологический ряд данных ранжировался в порядке убывания значений метеорологической величины. Каждому значению присваивался номер, а его обеспеченность определялась по формуле
  • (А.1)
  • где - порядковый номер;
  • - число членов ранжированного ряда.
  • Значения температуры воздуха наиболее холодных суток (пятидневок) заданной обеспеченности определялись методом интерполяции по интегральной кривой распределения температуры наиболее холодных суток (пятидневок), построенной на вероятностной сетчатке. Использовалась сетчатка двойного экспоненциального распределения.
  • Температура воздуха различной обеспеченности рассчитана по данным наблюдений за восемь сроков в целом за год за период 1966-1980 гг. Все значения температуры воздуха распределялись по градациям через 2 °С и частота значений в каждой градации выражалась через повторяемость от общего числа случаев. Обеспеченность рассчитывалась путем суммирования повторяемости. Обеспеченность относится не к серединам, а к границам градаций, если они считаются по распределению.
  • Температура воздуха обеспеченностью 0,94 соответствует температуре воздуха наиболее холодного периода. Необеспеченность температуры воздуха, превышающая расчетное значение, равна 528 ч/год.
  • Для теплого периода принята расчетная температура обеспеченностью 0,95 и 0,99. В этом случае необеспеченность температуры воздуха, превышающая расчетные значения, соответственно равна 440 и 88 ч/год.
  • Средняя максимальная температура воздуха рассчитана как среднемесячная величина из ежедневных максимальных значений температуры воздуха.
  • Средняя суточная амплитуда температуры воздуха рассчитана независимо от состояния облачности как разность между средней максимальной и средней минимальной температурой воздуха.
  • Продолжительность и средняя температура воздуха периодов со средней суточной температурой воздуха, равной и меньше 0 °С, 8 °С и 10 °С, характеризуют период с устойчивыми значениями этих температур; отдельные дни со средней суточной температурой воздуха, равной и меньше 0 °С, 8 °С и 10 °С, не учитываются.
  • Относительная влажность воздуха вычислена по рядам средних месячных значений. Средняя месячная относительная влажность днем рассчитана по наблюдениям в дневное время (в основном в 15 ч).
  • Количество осадков рассчитано за холодный (ноябрь - март) и теплый (апрель - октябрь) периоды (без поправки на ветровой недоучет) как сумма среднемесячных значений; характеризует высоту слоя воды, образовавшегося на горизонтальной поверхности от выпавшего дождя, мороси, обильной росы и тумана, растаявшего снега, града и снежной крупы при отсутствии стока, просачивания и испарения.
  • Суточный максимум осадков выбирается из ежедневных наблюдений и характеризует наибольшую сумму осадков, выпавших в течение метеорологических суток.
  • Повторяемость направлений ветра рассчитана в процентах общего числа случаев наблюдений без учета штилей.
  • Максимальная из средних скоростей ветра по румбам за январь и минимальная из средних скоростей ветра по румбам за июль рассчитаны как наибольшая из средних скоростей ветра по румбам за январь, повторяемость которых составляет 16% и более, и как наименьшая из средних скоростей ветра по румбам за июль, повторяемость которых составляет 16% и более.
  • Прямая и рассеянная солнечная радиация на поверхности различной ориентации при безоблачном небе рассчитана по методике, разработанной в лаборатории строительной климатологии НИИСФ. При этом использованы фактические наблюдения прямой и рассеянной радиации при безоблачном небе с учетом суточного хода высоты солнца над горизонтом и действительного распределения прозрачности атмосферы.
  • Климатические параметры для Российской Федерации рассчитаны за весь период наблюдений до 1980г ., для других стран СНГ - за период 1961-1990 гг.
  • * При разработке территориальных строительных норм (ТСН) уточнение климатических параметров должно производиться с учетом метеорологических наблюдений за период после 1980 г .
  • Климатическое районирование разработано на основе комплексного сочетания средней месячной температуры воздуха в январе и июле, средней скорости ветра за три зимних месяца, средней месячной относительной влажности воздуха в июле (см. таблицу А.1).

Таблица А.1

Климатические районы
Климатические подрайоны
Среднемесячная температура воздуха в январе, °С
Средняя скорость ветра за три зимних месяца, м/с
Среднемесячная температура воздуха в июле, °С
Среднемесячная относительная влажность воздуха в июле, %
I IA От -32 и ниже - От +4 до +19 -
От -28 и ниже 5 и более От 0 до +13 Более 75
IB От -14 до -28 - От +12 до +21 -
От -14 до -28 5 и более От 0 до +14 Более 75
От -14 до -32 - От +10 до +20 -
II IIА От -4 до -14 5 и более От +8 до +12 Более 75
IIБ От -3 до -5 5 и более От +12 до +21 Более 75
IIВ От -4 до -14 - От +12 до +21 -
IIГ От -5 до -14 5 и более От+12 до +21 Более 75
III IIIA От -14 до -20 - От +21 до +25 -
IIIБ От -5 до +2 - От +21 до +25 -
IIIB От -5 до -14 - От +21 до +25 -
IV IVA От -10 до +2 - От +28 и выше -
IVБ От +2 до +6 - От +22 до +28 50 и более в 15 ч
IVB От 0 до +2 - От +25 до +28 -
IVГ От -15 до 0 - От +25 до +28 -

Примечание - Климатический подрайон IД характеризуется продолжительностью холодного периода года (со средней суточной температурой воздуха ниже 0 °С) 190 дней в году и более.

  • Карта зон влажности составлена НИИСФ на основе значений комплексного показателя , который рассчитывают по соотношению среднего за месяц для безморозного периода количества осадков на горизонтальную поверхность, относительной влажности воздуха в 15 ч самого теплого месяца, среднегодовой суммарной солнечной радиации на горизонтальную поверхность, годовой амплитуды среднемесячных (января и июля) температур воздуха.
  • В соответствии с комплексным показателем территория делится на зоны по степени влажности: сухая ( менее 5), нормальная ( =5-9) и влажная ( более 9).
  • Районирование северной строительно-климатической зоны (НИИСФ) основано на следующих показателях: абсолютная минимальная температура воздуха, температура наиболее холодных суток и наиболее холодной пятидневки обеспеченностью 0,98 и 0,92, сумма средних суточных температур за отопительный период. По суровости климата на территории северной строительно-климатической зоны выделены районы суровые, наименее суровые и наиболее суровые (см. таблицу А.2).

Таблица А.2

Район

Температура воздуха, °С

Сумма средних суточных температур за период со средней суточной температурой воздуха 8 °С
абсолютная минимальная

наиболее холодных суток обеспеченностью

наиболее холодной пятидневки обеспеченностью

0,98
0,92
0,98
0,92
Наименее суровые условия  -35 -28 -25 -25 -23 -743
-51 -43 -40 -38 -36 -2780
Суровые условия -45 -40 -39 -38 -36 -2138
-60 -53 -51 -51 -49 -5678
Наиболее суровые условия -54 -50 -49 -47 -46 -3199
-71 -63 -62 -62 -61 -7095

Примечание - Первая строка - максимальные значения, вторая строка - минимальные значения.

Карта распределения среднего за год числа переходов температуры воздуха через 0 °С разработана ГГО на основе числа переходов через 0 °С средней суточной температуры воздуха, просуммированных за каждый год и осредненных за период 1961-1990 гг.


Поиск в инженерном справочнике DPVA. Введите свой запрос:
Дополнительная информация от Инженерного cправочника DPVA, а именно - другие подразделы данного раздела:
  • СНИП 23-01-99 Таблица 1. Климатические параметры холодного периода года. РФ.
  • СНиП 23-01-99. Таблица 1. Климатические параметры холодного времени года. Бывший СССР.
  • СНИП 23-01-99 Таблица 2. Климатические параметры теплого периода года. РФ.
  • СНИП 23-01-99 Таблица 2. Климатические параметры теплого периода года. Бывший СССР.
  • СНИП 23-01-99 Таблица 3. Средняя месячная и годовая температура воздуха, °С. РФ.
  • СНИП 23-01-99 .Таблица 3 - Средняя месячная и годовая температура воздуха, °С. Бывший СССР.
  • СНиП 23-01-99. Таблица 4а* - Максимальная суточная амплитуда температуры воздуха в июле, °С . РФ.
  • СНиП 23-01-99. Таблица 5а* - Среднее месячное и годовое парциальное давление водяного пара, гПа = 102 Па. РФ.
  • СНиП 23-01-99. Таблица 4 - Суммарная солнечная радиация (прямая и рассеянная) на горизонтальную поверхность при безоблачном небе. МДж/м2 . РФ в зависимости от месяца и географической широты. 40-68 ° с.ш.
  • СНиП 23-01-99. Таблица 5 - Суммарная солнечная радиация (прямая и рассеянная) на вертикальную поверхность при безоблачном небе, МДж/м2. РФ. В зависимости от месяца, ориентации поверхности и географической широты.
  • СНиП 23-01-99. Таблица 6*- Климатические параметры для проектирования отопления, вентиляции и кондиционирования.
  • СНиП 23-01-99. Строительная климатология. Рисунок 1 Схематическая карта климатического районирования для строителей.
  • СНиП 23-01-99. Рисунок 3. Схематическая карта районирования северной строительно-климатической области (рекомендуемая).
  • СНиП 23-01-99. Строительная климатология. Рисунок 4. Схематическая карта распределения среднего за год числа дней с переходом температуры воздуха через 0 ° С (рекомендуемая).
  • Рисунок 5* - Схематическая карта районирования по величине удельной энтальпии, кДж/кг наружного воздуха в теплый период года (параметры А)
  • Рисунок 6* - Схематическая карта районирования по величине удельной энтальпии I, кДж/кг наружного воздуха в теплый период года (параметры Б)
  • Вы сейчас здесь: СНиП 23-01-99. Строительная климатология. Приложение А (справочное). Методы расчета климатических параметров
  • Поиск в инженерном справочнике DPVA. Введите свой запрос:|
    Если Вы не обнаружили себя в списке поставщиков, заметили ошибку, или у Вас есть дополнительные численные данные для коллег по теме, сообщите , пожалуйста.
    Вложите в письмо ссылку на страницу с ошибкой, пожалуйста.