Инженерный справочник DPVA.ru (ex DPVA-info)

Проект Карла III Ребане и хорошей компании
 Задвижки, фильтры, кланы, клапаны, виброкомпенсаторы ABRA
Межфланцевые прокладки. Герметики. Уплотнительные материалы

Группа в FaceBook - тыц!



Free counters!

Адрес этой страницы (вложенность) в справочнике dpva.ru:  главная страница  / / Техническая информация / / Математический справочник / / Решение уравнений и неравенств. Системы уравнений. Формулы. Методы. / / Решение дифференциальных уравнений (диффуров). Дифференциальные уравнения, порядок дифференциального уравнения. Системы дифференциальных уравнений. / / Линейные однородные дифференциальные уравнения 2-го порядка с переменными коэффициентами.  / / Примеры решений линейных однородных дифференциальных уравнений 2-го порядка с переменными коэффициентами.


  Вы сейчас находитесь в каталоге:
   Линейные однородные дифференциальные уравнения 2-го порядка с переменными коэффициентами.   

Примеры решений линейных однородных дифференциальных уравнений 2-го порядка с переменными коэффициентами.

Поделиться:   

Примеры решений линейных однородных дифференциальных уравнений 2-го порядка с переменными коэффициентами.

Пример 1.

Найти общее решение уравнения

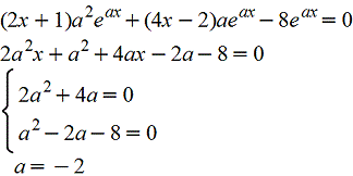
(2x+1)y''+(4x-2)y'-8y=0, x≠-1/2

Попробуем найти частное решение в виде y1(x)=eax.

Найдем "а". Для этого y1(x)=eax подставим в уравнение.

Формула Острогадского - Лиувилля

Итак, y1(x)=e-2x является частным решением.

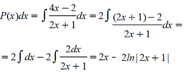
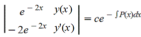
Для того чтобы найти лбщее решение, воспользуемся формулой Острогадского - Лиувилля

Формула Острогадского - Лиувилля

Здесь p(x)=(4x-2)/(2x+1)

Вычислим интегал

Формула Острогадского - Лиувилля

Итак,

Формула Острогадского - Лиувилля

или

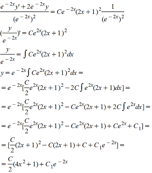
e-2xy'+2-2xy=Ce-2x(2x+1)2

Делим на y12(x),

Формула Острогадского - Лиувилля

При вычислении интеграла 2 раза воспользовались формулой интегрирования по частям

y(x)=(C/2)(4x2+1)+C1e-2x - общее решение исходного уравнения.

Пример 2.

Найти общее решение уравнения

(1-x2)y''-2xy'+2y=0 на (1;1).

Попробуем найти частное решение y1(x) в виде алгебраического многочлена. Для этого подставим y1(x)=xn+a1xn-1+...+an

Выписываем только члены с самой старшей степенью "х". Приравнивая к нулю коэффициент при старшей степени "х", определим степень многочлен

-n(n-1)+2n+2=0,

n2-3n+2=0 n=1; n=2

частным решением будет и y1=x+a и y1=x2+ax+b

Возьмем за y1(x)=x+a. Чтобы найти "a", опять подставим y1=x+a в исходное уравнение

-2x+2x+2a=0

a=0

Итак, y1=x является частным решением.

Для нахождения общего решения воспользуемся формулой Острогадского - Лиувилля

Формула Острогадского - Лиувилля

(Интеграл разбили на два

Формула Острогадского - Лиувилля

и во втором интеграле воспользовались тем, что

Формула Острогадского - Лиувилля

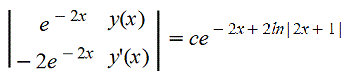
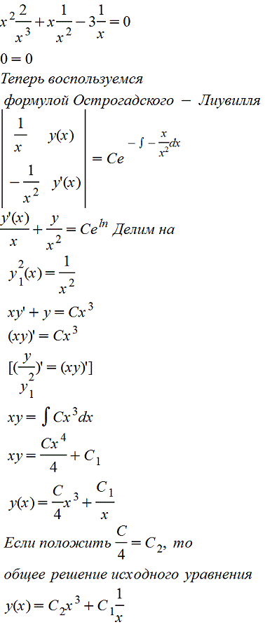
Пример 3

Найти общее решение уравнения

x2y''-xy'-3y=0 x>0 если известно что

y1(x)=1/x - частное решение

Проверим, что y1(x)=1/x - частное решение. Для этого подставим y1(x)=1/x в уравнение y1'(x)=-1/x2 , y''=2/x3

Формула Острогадского - Лиувилля


 


Поиск в инженерном справочнике DPVA. Введите свой запрос:
Дополнительная информация от Инженерного cправочника DPVA, а именно - другие подразделы данного раздела:
  • Вы сейчас здесь: Примеры решений линейных однородных дифференциальных уравнений 2-го порядка с переменными коэффициентами.
  • Поиск в инженерном справочнике DPVA. Введите свой запрос:|
    Если Вы не обнаружили себя в списке поставщиков, заметили ошибку, или у Вас есть дополнительные численные данные для коллег по теме, сообщите , пожалуйста.
    Вложите в письмо ссылку на страницу с ошибкой, пожалуйста.